En matemática, se llama forma indeterminada a una expresión algebraica que involucra límites del tipo:
Estas expresiones se encuentran con frecuencia dentro del contexto del límite de funciones y, menos generalmente, del cálculo infinitesimal y el análisis real.
Interpretación
El hecho de que dos funciones f y g se acerquen ambas a cero cuando x tiende a algún punto de acumulación c no es información suficiente para evaluar el límite
Dicho límite puede converger a cualquier valor, puede converger a infinito o puede no existir, dependiendo de las funciones f y g.
Cociente indeterminado
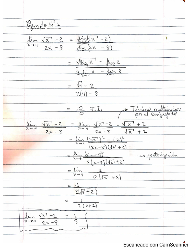
La forma 0/0
Un ejemplo muy frecuente es la forma indeterminada del tipo 0/0. Cuando x se acerca a 0, las razones x/x3, x/x, y x2/x se van a , 1, y 0 respectivamente. En cada caso, sin embargo, si los límites del numerador y del denominador se evalúan en la operación de división, el resultado es 0/0. De manera que, informalmente, 0/0 puede ser 0, o incluso 1 y, de hecho, es posible construir otros ejemplos similares que converjan a cualquier valor particular. Por ello es que la expresión 0/0 se dice que es indeterminada. Ejemplos:
La forma /
Esta forma indeterminada se da en cocientes en los cuales, tanto el numerador como el denominador, tienen por límite . En estos casos, no se puede aplicar ninguna regla operatoria, por lo que se dice que se está frente a una forma indeterminada del tipo /. Para resolver esta indeterminación pueden aplicarse métodos tales como factorización, derivación, el teorema del emparedado, entre otros.
Ejemplos:
Producto indeterminado
La forma indeterminada 0 •
Diferencia indeterminada
En los casos en que el límite de una diferencia es , no se puede aplicar ninguna regla operatoria para límites, por lo que se dice que se está frente a una forma indeterminada del tipo –. Para resolver esta indeterminación pueden aplicarse métodos como la multiplicación por los polinomios conjugados.
Potencia indeterminada
- La forma 00
- La forma 0
- La forma 1
Ejemplo: el siguiente límite[1]
- , es de la forma ; considerando
y tomando logaritmos en ambos miembros resulta
- aplicando al segundo miembro la regla de l'Hôpital, se obtiene
- de manera que el límite sería
Tabla de formas indeterminadas
La siguiente tabla contiene las formas indeterminadas y las transformaciones bajo la regla de l'Hôpital.
Véase también
- Bien definido
- División por cero
- Recta real extendida
- Regla de l'Hôpital
- Infinito
Referencias
Bibliografía
- Stewart, James (1999). Cálculo:Trascendentes tempranas. Thompson Learning. ISBN 970-686-127-0.
- Apostol, Tom (2006). Cálculus. Reverte. ISBN 968-6708-10-3.



